Political events are much less and not more supported – none exceeds 10% reinforce – and voters “without a party” have reached an remarkable 60%. Debates are nonetheless arranged round political events as though not anything had came about, however the foundations of our “representative” democracy are in peril.
We are living in unusual political occasions. The ruling coalition isn’t the one who emerged victorious within the 2024 elections. Debates are nonetheless arranged round political figures and events as though not anything had came about. The potentialities of the presidential elections are in folks’s minds and are actively being ready in partisan circles. On the other hand, ranges of mistrust have by no means been upper in France and the political elegance has change into probably the most major subjects of outrage amongst respondents. The “Great Citizen Resignation” is inflicting increasingly voters to show clear of the polls and for events to have interaction in politics in a different way.
Right here I center of attention on one explicit facet of this nice resignation, the one who calls into query the binds between voters and events. In regimen polls, there’s a dependancy of constant to investigate responses in response to celebration affinity. This means is doubly flawed: it means that events are nonetheless supported whilst their common roots are weakening, and it gets rid of from the research all those that have resigned, appearing as though, as a result of they don’t have a detailed celebration, they’ve no personal tastes. We can see that those “non-partisans” aren’t simply someone and that their rising quantity calls for that we expect in a different way about our democracy.
Erosion of certain dating with events
Determine 1: Linkage and shortage of partisan proximity in France (1999-2023)
CNCDH Racism Barometers and the Eu Social Survey (ESS). Creator’s calculations, equipped by way of the writer (no reuse)
“Non-partisan”, within the strict model of the ESS or the prolonged model of the French surveys, are already a lot of because the starting of the twenty first century: 2002-2016. it was once between 45% and 51% for the ESS, whilst, within the CNCDH barometer, we witnessed an build up in non-partisanship from 99% to 30% within the then 40% drop after the 2012 presidential election (25%) sooner than emerging to 34% in 2016. As well as, hard-liners, the ones respondents who say they’re “very or fairly close” to a celebration, combat to greater than a 3rd of respondents. This already signifies the extent of dissatisfaction of an important collection of French voters that each one events are competing for his or her votes.
One would possibly assume that it’s the exhaustion of the “old” events of the Union for the Standard Motion (UMP) and the Socialist Birthday celebration (PS), sooner than the emergence of Emmanuel Macron. On the other hand, 2017 didn’t trade the placement: between 2016 and 2020, the non-partisan percentage of the ESS larger from 51% to 59%, whilst demanding core supporters fell to 23% in 2020. Within the CNCDH surveys, we reached 45% in 2018 and 42% in 2018. 2022. With a view to perceive the erosion of events within the voters, let’s analyze the partisan proximity intimately.
Determine 2: main points of partisan neighborhoods

Studying: Proportions of folks with regards to a selected celebration in step with yr. Eu Social Survey, Waves 1 to ten. Creator’s calculations, equipped by way of the writer (no reuse)
Sure occasions are echoes of positive political moments, particularly electoral victories: UMP in 2008, Los angeles Republikue en Marche (LREM) in 2018, after the victory of Emmanuel Macron. The last decade of 2000 was once marked by way of the dominance of the PS/UMP duo. Again then, we had been speaking a couple of “two-party relationship in the French style”, in step with the expression of Gerard Grunberg and Florence Hegel.
In 2008, the 3rd celebration, the Democratic Motion (MoDem), accrued 4 occasions much less reinforce than PS (16%) and UMP (17%). On the other hand, even in combination, the reinforce of those two events represented most effective fairly greater than a 3rd of the respondents.
Francois Hollande’s mandate (2012-2017) ended in the decline of those two conventional events: PS went from 16% in 2012 to 7% in 2018, and UMP (remodeled into LR in 2015) from 14% to 7%. This erosion of “old world” events has now not essentially translated into an build up within the energy of “new world” events. The Nationwide Meeting (RN, previously FN) attracted at highest most effective 8% of respondents in 2014. As for the Macronist motion, it reached 10% reinforce in 2018, however 8.5% in 2020, slightly higher than the PS, Les Republicains (LR, ex-UMP) or Europe Ecologie (7%-LeLV) who were given Ecologie%. As for Los angeles France insoumise (LFI), it stays neatly under 5%.
The wave after 2022 confirms the numerical weak spot of the French events: the RN returns to the extent of 2014, forward of the Macronist celebration (6%), however the Vegetables, PS, LFI and LR every have round 5% of the vote.
In France within the 2020s, we will summarize the placement as follows: the percentage of non-party folks hasn’t ever been so top, and we’re witnessing an remarkable celebration break up as no celebration dominates. Above all, the numerical weak spot of reinforce for every celebration can most effective elevate questions when mirrored in a balloting development that favors the bulk. Presidents do get nearly all of the vote, however their celebration struggles to get previous 10 p.c reinforce, similar to the finalists in the second one spherical. This should make us query.
Social and generational common sense of partisan decline
Determine 3. Adjustments in non-party standing in step with levels, professions and generations

Eu Social Survey, Waves 1 to ten. Creator’s calculations. Creator equipped (no reuse)
The absence of partisan ties has lengthy been an indication of political incompetence. In truth, issue in taking aspects is extra commonplace amongst atypical voters, whilst subtle voters are each skilled (knowledgeable in regards to the political box and actors) and “likable” (). However this rationalization is now not enough.
Undoubtedly, the supporters are extra a lot of a number of the much less skilled, common classes (right here certified and unqualified staff) and the youngest, which matches within the course of favoring political incompetence. However, because the starting of the seen duration, a number of the maximum socially advantaged teams, the percentage of non-party individuals is a long way from negligible. In 2004, individuals of the 1961-1980 era had been between the ages of 23 and 44 and integrated many extra graduates than earlier generations, but 54% of them didn’t really feel with regards to any celebration.
Because the mid-2010s, the rise in non-partisan numbers displays that there’s a lot more occurring than a easy impact of political competence. Between 2012 and 2020, their percentage received +11 issues a number of the maximum certified, +7 issues within the 1940-1960 era, +7 issues a number of the professional provider elegance (managers and bosses).
Nonpartisan ranges are in particular top in common classes (62% amongst professional staff and 70% amongst unskilled in 2020, above 60% amongst the ones with lower than 16 years of schooling), but in addition amongst post-baby boomers (59%) and millennials (68%). Labeled voters stay, however they’re much less and not more consultant of all French folks.
Negativization of the partisan connection
The sure vote was once glaring, however the unfavourable vote (Catt, 1996) is taking on increasingly area. A pattern that permits us to grasp why opting for a e-newsletter is much less and not more a synonym for reinforce, and increasingly a call within the absence of one thing higher.
For this, we have now lengthy questions that measure the chance of balloting for various events, from 0 (utterly excludes balloting for this celebration) to ten (undoubtedly you’re going to vote for this celebration). They make it conceivable to differentiate enemies (who obtain a rating of 0) from warring parties (rankings from 1 to 4, and even 5) and companions (rankings more than 5). Additionally, we will additionally measure “adherents” (rankings from 8 to ten).
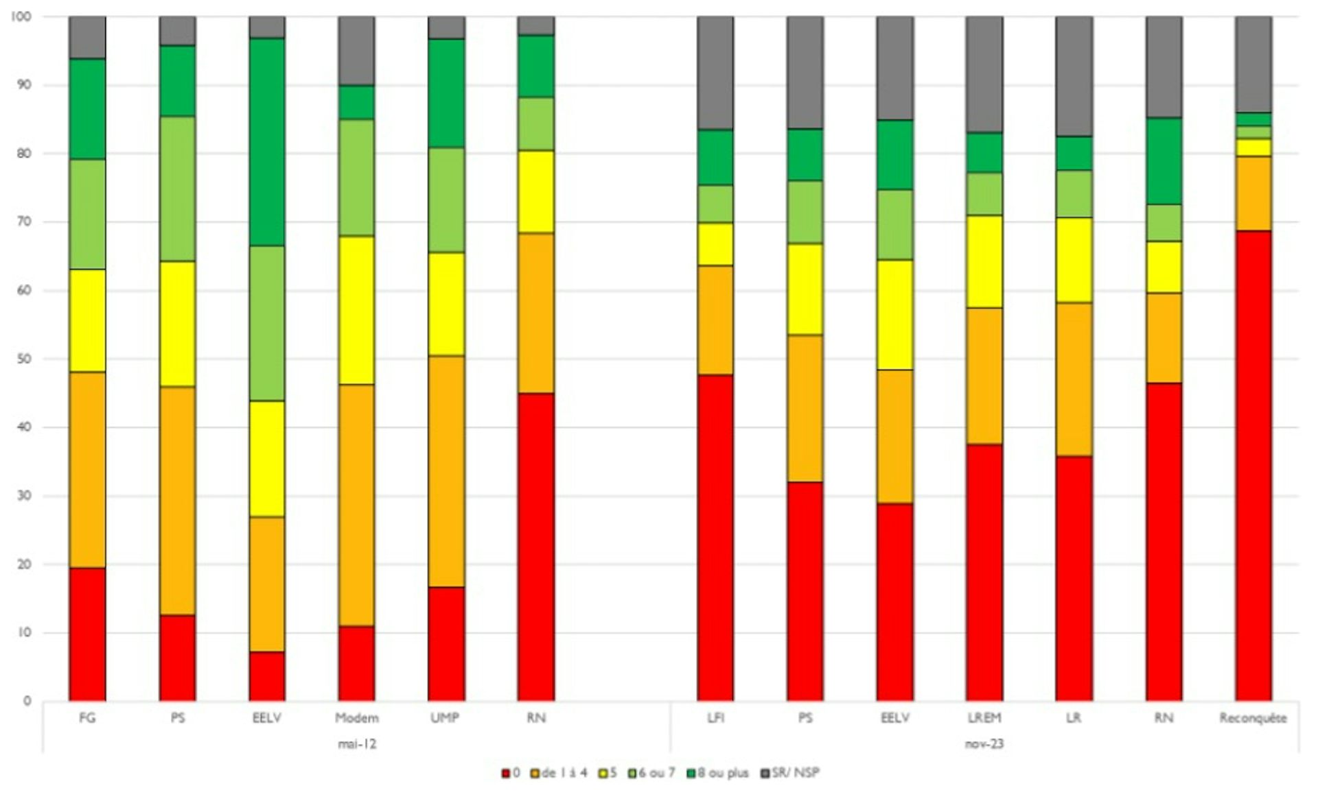
Determine 4: Chance of balloting for various French events in 2012 and 2023

Publish-election survey 2012 and CNCDH 2023, writer’s calculations, equipped by way of writer (no reuse)
The balloting possibilities measured in 2012 replicate a political international the place there was once undoubtedly negativity, however it was once restricted. Handiest FN brought about absolute rejection in additional than 40% of respondents. The second one maximum rejected celebration is the Left Entrance (from which LFI got here) with round 20%. In regards to the certain reference to the celebration, 4 organizations gained greater than 30% of rankings above 5 out of 10, Left Entrance (30%), PS (31%), environmentalists (53%) and UMP (31%).
The negativism of the perspective in opposition to the political be offering is a large phenomenon in France after 2022. The events regarded as to be probably the most left and probably the most proper purpose extra rejection, 47% of respondents give a rating of 0 for LFI, 46% do the similar for RN and 69% for Reconquete d’Eric Zemmour. This negativity a long way exceeds the percentage of electorate more likely to vote for those identical events. LFI has sturdy reinforce of 8% (rankings above 8), RN 13%, and Zemurist celebration 2%. If we upload grades 6 and seven, this is, decrease personal tastes, we arrive at 14%, 18% and four%.
However the rejection and particularly the trouble in accumulating certain reinforce is now affecting all the political be offering. EELV generates 29% 0 marks, LR and LREM round 36%, PS and EELV round 30%. This rejection could be very other from 2012. A lot of these events fall into the class of adversaries at highest for lots of respondents. Politically, that is identical to a presidential victory for every of the 4 primary events going on “by default,” within the common sense of getting rid of the worst as opposed to the least worst.
Unhealthy state of affairs
France is in an remarkable and probably bad state of affairs. At the one hand, establishments serve as and political events function inside them. However, then again, they achieve this with roots which might be more and more fragile and not more and not more consultant of society, particularly on the subject of the operating elegance and the brand new generations. Let’s imagine that they’re absent, non-partisan, however that forgets that they have got particular personal tastes and calls for, and that the French political be offering is not able to reply to them. Extra critically, do they intend to take action?
In 2024, the massive losers within the parliamentary elections had been the LR and the Macronists, they usually nonetheless rule. Events can do as same old, however it is as though those voters who flip clear of events do not rely for the rest. But even so, it isn’t simply the events which might be affected. The similar is going for retaining an ever-increasing portion of the possible voters clear of the polls.
Taking into consideration this “resignation of a great citizen” as negligible, the political steadiness and our democratic style are below drive. Performing as though partisans or abstainers haven’t any evaluations and personal tastes or appearing as though those that keep in line are consultant. That is much less and not more the case and within the context of a democracy that is still targeted on elected officers, it encourages distance and rejection of increasingly more French folks.
This newsletter is taken from the e-book French Democracy in Hassle. Demanding situations and Alternatives in French Politics (Palgrave Macmillan, 2025), edited by way of Elodie Druez, Frederic Gonthier, Camille Kelbel, Nonna Maier, Félix-Christopher von Nostitz, and Vincent Tiberj.