Have you ever ever had a cultured revel in within the face of artwork?
Take a seat on the Mirmotan Museum to appreciate the wonderful thing about Nymphe, Moneta; Have an intimate reference to Mona Lisa, Leonardo da Vinci, whilst it data your view regardless of your small travels to Louvre regardless of the group; Really feel anxiousness looking at the cry, from Munch, in entrance of the fabric, in entrance of Pollock canvas, in finding attractiveness in what can have a look at the nozzle nozzle’s nozzle to start with look.
That is portray uncovered to New York, the US, created Jackson Pollock (1912-1950) with its “Drawing” method, which is composed in spilling or spraying colour on canvas, now not making use of it to use brushes.
Even though the method can appear chaotic, Polok arguable artwork identified an outstanding mathematical construction, which is known as “Fractal”, as mentioned a systematic article printed in nature, 1999. years.
Mathematical quantification of summary artwork
So as to remedy equations, describing the forces of nature, to are expecting marketplace fluctuations examples that disclose the ability of arithmetic. Artwork Like portray and sculptures can be impressed by means of mathematical houses comparable to symmetry, geometric paperwork, relationships and self-conditioning (persona of an object the place you’ll be able to in finding similarities by means of looking at it on other scales).
For instance, a male drawing of Vitruvian, Leonarda da Vinci, gifts a human frame in a sq. and circle with connections that means golden numbers or, once more, superpositions of geometric shapes of Cubist Method Picasso.
And likewise, as we describe, self-procuring and fractal houses of the Jackson Pollock canvas.
“Dimension” is a device that may quantify a herbal or summary object. For instance, the purpose is 0 size, the road is size 1, the dice rubik is 3 -Dimensional. Those examples display that the dimensions of not unusual gadgets is entire.
Alternatively, nature can create unexpected pieces of incomplete dimensions! Certainly, Mathematician Benoit Mandelbrot confirmed that the coast of the French limitless rim, however the ultimate house (551,695 km2). The Romanesca cabbage is humorous greens ready-made quantity with a vast house. Those examples are fractals.
How are we able to describe those curious pieces? Are we able to calculate their size?
Fractals in maths and nature what’s fractal? Fractal is a vast reason characterised by means of auto-cells, ie that facility with the similar prevalence is set quite a lot of scales.
Mandelbrot has additionally evolved many fractal units – we will zoom in some puts in those unusual areas with poetic names, comparable to hypocampa valley.
Partial view of the Mandelbrot set. Wolfgang Beier with Extremely Fractal 3 Tool, CC Bi-SA

Each and every fifteen days, large names, new votes, new pieces for decoding clinical information and higher perceive the sector. Subscribe at no cost lately!
Fractals aren’t simply growing mathematicians, but in addition nature. Bushes, clouds, lightning have irregularities that may be quantified the usage of fractals. Mandelbrot mentioned:
“Clouds are not spheres, mountains are not cones, shores are not circles, the bark of wood is not smooth and lightning is not moving in a straight line.” »
We additionally in finding fractors in biology, geology and well being. For instance, a fractal size of sign from the enexhalogram used to be used to locate irregularities conventional of Parkinson’s illness. We additionally in finding them within the description of worldwide warming, quantification of CO2 ranges and examining the elements temperature time evolution.
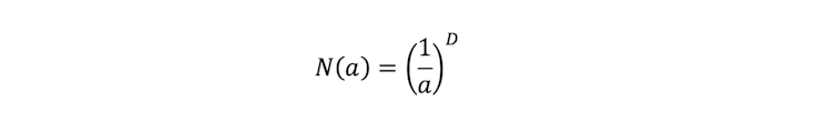
measure the “size” of the item when it’s not only a easy line or sq.? Mathematicians use the sensible way “Counting the box”. Believe looking to duvet the item with small packing containers.

Manner of dating packing containers for calculating the fractal size of the coast of Metropolitan France: Let’s take the coast with smaller and smaller sq. packing containers. The selection of packing containers have been noticed n, the aspect of the sq. A; The ensuing fractal size is d = 1.14. Delisle and Jouadi, who were given the creator
The less packing containers, the extra packing containers you wish to have to hide the article. The depend field makes use of this concept, here’s his operation:
Use packing containers a to hide the item.
Depend what number of packing containers n (a) duvet the article.
Calculate the Measurement D components:

Dripping, from the gesture of artists to public belief
All over the drip length, Pollock has perfected his method, enjoying at the complexities of the colours used and the sunshine results produced in its platters. At the back of this artist artist, with out realizing it, has greater the fractal size of its achievements.
Last at paintings Tvsulcer, who imitates the drip method for Pollock. We see a drip aid. Tomvsulcer, vikipedia
Squading canvas with an increasing number of appropriate hips and the usage of the packing containers of the field, amongst different issues, the fractal dimensions of the canvas for Pollock: Some packing containers will likely be stuffed with colours, and others, and this is a form of ratio between the 2 that lets you determine a size. Thus, the counting box has enabled that the alchemical plat has a fractal size equivalent to one.5 and that the fall rhythm of the canvas (quantity 30) dimensions 1.66.
Thus, mathematicians discovered that the fractal size of the Pollok used to be greater via profession.

Seal on fee of fee since 1950. years Jackson Pollock. Spatutal, Shutterstock
But when the artist technically perfected the dripping way, it used to be now not positive that the cultured public revel in grew up. Certainly, within the learn about printed in 2005. years, folks have looked as if it would have most popular their footage with fractal size within the vary of one.3 to one.5 – values that get admission to fractures triggered by means of nature.
This can also be related to the truth that the popularity of nature gadgets in fractal amenities has produced higher aesthetic revel in than fractals extra dimensions are tricky to spot with not unusual or herbal gadgets, as proven in 1990. years, learn about on Psychology of Belief.